单元coppersmith’s method 学习最终章,详解 第三届强网杯 之copper study,【这一波,这一波是首尾呼应。】
第一关:Stereotyped messages
已知n,e=3,c,m共512bit但是低72bit未知,原理可参考Mathematics of Public Key Cryptography ch19。也即前文所述。
[+]Generating challenge 1
[+]n=0x44e360ce873d18d33eecc0829eb0801e71950e26576963c470f91f4c5e7f3e951f65404c6a87f4328495c9c64d39271f3317081aeab34bdf350c5f9bf0c5a49668f763cbf404e66f210336042c6a6e43eed6c6eaca69287ed91b2841148668fd3881b241317574cc8b307fb41593ff7caaa6f09e32f657399c63fe5f68995c5dL
[+]e=3
[+]m=random.getrandbits(512)
[+]c=pow(m,e,n)=0x20d40eecc8108d6c57b0ea2e1d7d165fb342813764f3760baf71e7929e3c22476de15b5e665ff8b869b5ed3a672aad4e9ef330bb7e18329ce2d0cccae369e244002882a273d3bf5a13b8936974768a920f5cbee52d0bb0323f867ff6305c5aa7ceb99453172332cd9837fdb05d6ea2d7eac39fd0d39960dc9ddbdd40f82b444bL
[+]((m>>72)<<72)=0x5377a12cada023e2714b4a9e80f1da87ca567f084e2862e704b813cd7f69b8dbbf67d60e73610fabb7896eeb3cc5a2c0915d03f9f8d44d000000000000000000L
[-]long_to_bytes(m).encode('hex')=
这道题我们完全可以将题面转化为在求方程f(x) = (m+x)^3 在模N下的解
所以可以直接套我们前面所描述的方法
exp:
# 展示格的样式
def matrix_overview(B, bound):
for ii in range(B.dimensions()[0]):
a = ('%02d ' % ii)
for jj in range(B.dimensions()[1]):
a += '0' if B[ii,jj] == 0 else 'X'
a += ' '
if B[ii, ii] >= bound:
a += '~'
print (a)
def coppersmith(pol, modulus, h, X):
# 计算矩阵维度
n = d * h
# 将多项式转到整数环上
polZ = pol.change_ring(ZZ)
x = polZ.parent().gen()
# 构造上文所述lattice,polZ(x * X) 就是环上的多项式f(X * x),所以这里与上文不同的点就在于引入了变量x,但变量x在后面的矩阵构造中会被抹掉。
g = []
for i in range(h):
for j in range(d):
g.append((x * X)**j * modulus**(h - 1 - i) * polZ(x * X)**i)
B = Matrix(ZZ, n)
for i in range(n):
for j in range(i+1):
B[i, j] = g[i][j]
# 展示格的样式
matrix_overview(B,modulus^h)
# LLL算法
B = B.LLL()
# 将最短向量转化为多项式,并且去除相应的X
new_pol = 0
for i in range(n):
new_pol += x**i * B[0, i] / X**i
# 解方程
potential_roots = new_pol.roots()
return potential_roots
N =
e =
c =
m =
ZmodN = Zmod(N)
P.<x> = PolynomialRing(ZmodN)
f = (m + x)^e - c
epsilon = 1 / 7
# 根据公式计算参数d、h、X
d = f.degree()
h = ceil(1 / (d * epsilon))
X = ceil(N**((1/d) - epsilon))
roots = (coppersmith(f, N, d, h, X))[0]
for root in roots:
if (m + root)^e %N == c %N :
print(m + root)
构造的格的样式
与example3 构造的格是类似的
但其实sage已经集成了coppersmith的求根方法,因此简单调用一下函数就可以解决这个问题。这里之所以这样做其实是想映照前文,展示一下利用coppersmith来解决此类问题的整个过程。
利用现成方法版exp
N =
e =
c =
m =
ZmodN = Zmod(N)
P.<x> = PolynomialRing(ZmodN)
f = (m + x)^e - c
x0 = f.small_roots(X=2^kbits, beta=1)[0] # 这里的X选取不像上文用的是临界值,而是选了一个我们未知的x的最大可能值。X的选取并非严格,但至少得保证比临界值小。
print("m:", m + x0)
BTW,这里泄露的是明文的高位,其实还有泄露低位、泄露高低位的情况。但换汤不换药,无非是由m+x变成了 m_high +x * 2^k + m_low。
第二关:Factoring with high bits known
已知n,e,c,n=pq且已知p的高位
[+]Generating challenge 2
[+]n=0x5fe2743ec99568d645943147498849643932486590fb101f41c93ad7247161bc035d75dfb9e4b25209e26913098ecc1b7c4a92a47fb28452465d8b94e31844c4624da870140a48a28a0e6a3c6d9731b8488a63fd8ab9f5fe1ae86513c7444bb0aa39d44416b9cfa83c370f50c7a5a148a36823f0ddeed66ecf99117378c0640fL
[+]e=65537
[+]m=random.getrandbits(512)
[+]c=pow(m,e,n)=0x2639582bf7b22fd52a7a519673574e1212b675c9c10763ffcbcf5a86b61f07c4ea536e48dfbd4f3201cb2e18f2a0946959223b3f32bd5b3166d6cdd185ad946e543504dcc42ac9a24c03343bc8e4379997c722b12c66acaed6ad64d35f2fbcc8f4d899c1081d4211987841d1be082801a07014de89050b71e584827020934755L
[+]((p>>128)<<128)=0xe4f16417011e6cc5ced2aad00d5865a0530f37c078dd22d942d0d0811c7053d973b621c4768a2a87a6d233be10db8e1a00000000000000000000000000000000L
[-]long_to_bytes(m).encode('hex')=
这一关我们需要引入一个新的定理
Theorem 3
这里我就不再给出令人头大的证明了。直接给出一个例子,但是显然,由于条件的改变,这个格子的构造也会与之前的格子不同。
example 4
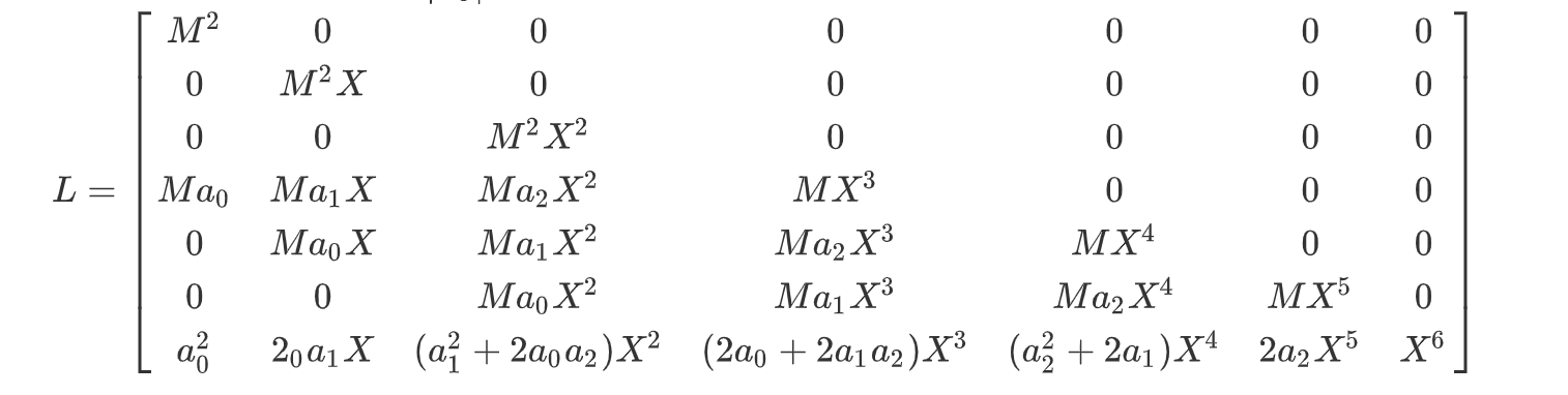
设N=16803551,p’=2830 , X=10
我们设F(x)=(x+p’),并且考虑多项式:N, F(x),xF(x)=(x^2 + p’x),x^2F(x)。然后构造格
LLL规约后得到第一行的SVP为(105,-1200,800,1000),去除X可以得到
G(x) = x^3 + 8x^2 – 120*x + 105;解方程可以得到x = 7,检查一下确实 2387|N
【这里的N也许显得突兀,把它看作是k * p也许会好理解些:所选取的多项式带入正解x时均在模p下与0同余。】
除了这样构造格子,通过查阅网上关于这道题的题解可以发现另一种格子的构造。我们这里是“x-shift”了三次,另外那种是先提升次数,然后再“x-shift”,具体用了这八个多项式:
格子的样式:
之所以这么选也是这里新引入了两个参数,一个是beta,一个是t,beta是未知p与已知N指数关系,这里就是0.4,因为p ≈ N^0.4,【其实可以是0.5,但我们并不确定p, q的大小关系,保险起见用0.4】t的具体取值与beta相关,另外这里的h的取值也与beta有关,X的取值也与上面的定理所述不同。
exp
# 展示格的样式
def matrix_overview(B, bound):
for ii in range(B.dimensions()[0]):
a = ('%02d ' % ii)
for jj in range(B.dimensions()[1]):
a += '0' if B[ii,jj] == 0 else 'X'
a += ' '
if B[ii, ii] >= bound:
a += '~'
print (a)
def coppersmith(pol, modulus, beta, h, t, X):
# 计算矩阵维度
n = d * h + t
# 将多项式转到整数环上
polZ = pol.change_ring(ZZ)
x = polZ.parent().gen()
# 构造上文所述lattice,polZ(x * X) 就是环上的多项式f(X * x),所以这里与上文不同的点就在于引入了变量x,但变量x在后面的矩阵构造中会被抹掉。
g = []
for i in range(h):
for j in range(d):
g.append((x * X)**j * modulus**(h - i) * polZ(x * X)**i)
for i in range(t):
g.append((x * X)**i * polZ(x * X)**h)
# 构造格B
B = Matrix(ZZ, n)
for i in range(n):
for j in range(i+1):
B[i, j] = g[i][j]
# 展示格的样式
matrix_overview(B, modulus^h)
# LLL
B = B.LLL()
# 将最短向量转化为多项式,并且去除相应的X
new_pol = 0
for i in range(n):
new_pol += x**i * B[0, i] / X**i
# 解方程
potential_roots = new_pol.roots()
# 检查根
roots = []
for root in potential_roots:
if root[0].is_integer():
result = polZ(ZZ(root[0]))
if gcd(modulus, result) >= modulus^beta:
print("p: ",(gcd(modulus, result)))
roots.append(ZZ(root[0]))
return roots
N =
ZmodN = Zmod(N)
P.<x> = PolynomialRing(ZmodN)
pbar =
f = pbar + x
beta = 0.4
d = f.degree()
epsilon = beta / 7
h = ceil(beta**2 / (d * epsilon))
t = floor(d * h * ((1/beta) - 1))
X = ceil(N**((beta**2/d) - epsilon))
roots = coppersmith(f, N, beta, h, t, X)
这个脚本其实也可以用在第一关,只要将beta改成1,再带入相应的多项式和数据就可以了。
相关的paper和原脚本在github,有兴趣的师傅可以研究研究。
同样,利用现成函数版exp
N =
pbar =
ZmodN = Zmod(N)
P.<x> = PolynomialRing(ZmodN)
f = pbar + x
x0 = f.small_roots(X=2^kbits, beta=0.4)
p = pbar + x0
print("p: ", p)
BTW,同第一关一样,这里的p泄露了高位,但与p泄露了低位的情况,无差。
第三关:Partial Key Exposure Attack
已知n,e=3,c,d的低512bit已知 【n的长度为1023】
[+]Generating challenge 3
[+]n=0x6f209521a941ddde2294745f53711ae6a7a59aa4d0735f47328ac03e26a4e092bb1c4c885029950f52b1e071597dc6e6d5129afbdb4688ad0479d6f9655dafef915da0a3f5114989cb474a13a9a4a4293fd447739b3cc2b0a3966f21617f057e6c199c5fd4d11ce78fdf9112f53446578b6cfd2c405eb0d3389cd3965636f719L
[+]e=3
[+]m=random.getrandbits(512)
[+]c=pow(m,e,n)=0x6126eaf34233341016966d50c54c6f7401e98f2015bcbdc4d56f93f0c48590fcd8ee784521c503be322c0848f998dc3a6d630bc1043a4162467c4b069b6c0e186061ed2187d0b2d44e9797ce62569d2dab58d183d69b9d110369a8d690361b22223e34e65e51868646d0ebf697b10e21a97d028833719e87c1584d2564f21167L
[+]d=invmod(e,(p-1)*(q-1))
[+]d&((1<<512)-1)=0x1d8f1499c4f6d90716d89f76833823e8fca4dd4034f17157e4fd9f6f070e1526f3b4fa3fe507d645ec848e4d7ff3728eb8df04b72849feabaa3425f9fc510ec3L
[-]long_to_bytes(m).encode('hex')=
exp
def recover_p(p0, n):
PR.<x> = PolynomialRing(Zmod(n))
nbits = n.nbits()
p0bits = p0.nbits()
f = 2^p0bits*x + p0
f = f.monic()
roots = f.small_roots(X=2^(nbits//2-p0bits), beta=0.4)
if roots:
x0 = roots[0]
p = gcd(2^d0bits*x0 + p0, n)
return ZZ(p)
def find_p0(d0, e, n):
X = var('X')
for k in range(1, e+1):
results = solve_mod([e*d0*X == k*n*X + k*X + X-k*X**2 - k*n], 2^d0.nbits())
for x in results:
p0 = ZZ(x[0])
p = recover_p(p0, n)
if p and p != 1:
return p
n =
e =
c =
d0 =
p = int(find_p0(d0, e, n))
print("found p: ", p)
q = n//int(p)
print("found d: ", inverse_mod(e, (p-1)*(q-1)))
第四关:Hastad’s Broadcast Attack
已知n1,c1,n2,c2,n3,c3,e=3
[+]Generating challenge 4
[+]e=3
[+]m=random.getrandbits(512)
[+]n1=0x1819da5abb8b8158ad6c834cb8fd6bc3ed9a3bd3e33b976344173f1766bf909bda253f18c9d9640570152707e493e3d3d461becc7197367ab702af33d67805e938321915f439e33f616b41781c54c101f05db0760cc8ca0f09063f3142b5b31f6aa062f1e60bba1a45e3720ab462ebd31e1228f5c49ae3de8172bad77b2d5b57L
[+]c1=pow(m,e,n1)=0x7841e1b22f4d571b722807007dc1d550a1970a32801c4649e83f4b99a01f70815b3952a34eadc1ec8ba112be840e81822f1c464b1bb4b24b168e5cb38016469548c5afd8c1bdb55402d1208f3201a2a4098aef305a8380b8c5b6b5b17d9fb65a6bdfdcf21abc063924a6512f18f1dc22332dfc87f4a00925daf1988d43aaecdL
[+]n2=0x6d1164ffa8cb2b7818b5ac90ef121b94e38fd5f93636b212184717779c45581f13c596631b23781de82417f9c8126be4a04ab52a508397f9318c713e65d08961d172f24f877f48ef9e468e52e3b5b17cbbe81646903d650f703c51f2ad0928dd958700b939e1fd7f590f26a6d637bd9ef265d027e7364c4e5e40a172ce970021L
[+]c2=pow(m,e,n2)=0x58f26614932924c81d30ef2389d00cf2115652ced08d59e51619207a7836fd3908b3179fc0df03fe610059c1fe001ca421e01e96afc47147d77bbbe6a3f51c5c06f1baeab8dc245c2567a603f87dea0a053b8f5df4e68f28896d7d1ba3dd3dcd7c4652d59404fa237f4868e1bbc9ae529196739486d86bd1723a78dfac781fe5L
[+]n3=0xde53be1db600264b0c3511ae4939c82164ea1166aadfd8dd0af6e15eb9df79a5d1a2757d3d15630441790ecf834098a1cf4b5858003f0b7f3a72823de014ac0a7c827ed1ca4185b245774f442a05dee3fe6bf846e5b035caf3b3c574b88911b7e5b81fc2c638729240f949e09a25a3a4a762c31005684791577d5e9fc8221abdL
[+]c3=pow(m,e,n3)=0x89f9fabc7e8d6f0e92d31109ea4c024446b323d9f441d72db4eb296eba3011abe2a58e68ec21a663e6493981e21835a826f28d1bc28d3476273ff733ef69c152e7fbfebc826132266f6eb65c86b242417c06eb31453f99ed7e075ababbfc208d042a2436a766f24eb9af0f45b60eea2c4405edfabd87584806bc0a1a51f9ca7aL
[-]long_to_bytes(m).encode('hex')=
对于这一关,由于我们知道m是512bit的,而用于加密的e=3,因此三个c即为m^3 在不同模下的剩余。由于m^3为512 * 3=1536bit,而可以知道的是三个模n的bit长度分别为1021,1023,1024。所以利用中国剩余定理【具体原理可以看俺这一篇文章】我们是可以还原长度为1536bit的m^3的,最后我们再开个三次根就好得到m了。
exp
from gmpy2 import *
def CRT(mi, ai):
assert (reduce(gcd,mi)==1)
assert (isinstance(mi, list) and isinstance(ai, list))
M = reduce(lambda x, y: x * y, mi)
ai_ti_Mi = [a * (M / m) * invert(M / m, m) for (m, a) in zip(mi, ai)]
return reduce(lambda x, y: x + y, ai_ti_Mi) % M
print iroot(CRT([n1,n2,n3],[c1,c2,c3]),3)
exp来自食兔人的博客——CTF中的RSA基本套路
Cs = []
Ns = []
A= [1, 1, 2]
B= [0, 1, 2]
e= 3
# solve
cnt = e
PR.<x> = PolynomialRing(ZZ)
x = PR.gen()
Fs = []
for i in range(cnt):
f = (A[i]*x + B[i])**e - Cs[i]
ff = f.change_ring(Zmod(Ns[i]))
ff = ff.monic()
f = ff.change_ring(ZZ)
Fs.append(f)
F = crt(Fs, Ns)
M = reduce( lambda x, y: x * y, Ns )
FF = F.change_ring(Zmod(M))
m = FF.small_roots()
print("m: ",m)
第五关:Related Message Attack
已知n,e=3,m对应的密文c1,(m+1)对应的密文c2
[+]Generating challenge 5
[+]n=0xf2e5339236455e2bc1b1bd12e45b9341a3b223ddb02dec11c880fa4aa8835df9e463e4c446292cd5a2fe19b10017856654b6d6c3f3a94a95807712329f7dae2e1e6506094d5d2f9c8a05c35cbf3366330996db9bff930fe566016d5e850e232057d419292ce30df9c135d56ef1bb72c38838d4b127aa577ceb4aba94d4e0d55L
[+]e=3
[+]m=random.getrandbits(512)
[+]c=pow(m,e,n)=0x7175f2614b8d1a27b43f7c3873b3422658af28291ddc88b15f97f499e00cd4c5c4fd980f062376a61e5dd4c15d52d73262d3c066f1e8f46a04af6fead7c3960d2768a0d214bbc3e05d2f6e56aee158071574e55753624a19e094590fc3f9918a2065cd5ff7693e0d34517bc0072e6c9e444e66c4ece88d657f99e44bee48924L
[+]x=pow(m+1,e,n)=0xd5f4af36b5391bd731cfa4313466024ab1bc3b455024a5d8b218faba0e956252f01c4d01bd36765035c33d73e5af7f178aeb2606edf86814d74082c64828fa4c1666b69d05fab69dd1ef47b243356290fdb74e001f54edec70681cf52319c73bce9acda4803a9e97597ca21d60072c2d2b516f161bec1f6a91baa2e24c7655bL
[-]long_to_bytes(m).encode('hex')=
同第四关一样,这一题也有多解,一种是像一叶飘零师傅这篇文章所述,直接硬化公式
exp
import gmpy
def getM2(a,b,c1,c2,n):
a3 = pow(a,3,n)
b3 = pow(b,3,n)
first = c1-a3*c2+2*b3
first = first % n
second = 3*b*(a3*c2-b3)
second = second % n
third = second*gmpy.invert(first,n)
third = third % n
fourth = (third+b)*gmpy.invert(a,n)
return fourth % n
a = 1
b = -1
c1 =
c2 =
n =
m = a*getM2(a,b,c1,c2,n) + b
print hex(m)
exp
def franklinReiter(n,e,b,c1,c2):
R.<X> = Zmod(n)[]
f1 = X^e - c1
f2 = (X + b)^e - c2
m_ = GCD(f1,f2).coefficients()[0] # 返回的是首一多项式,coefficients()返回多项式各项式的系数,项式次数递增,所以第0项是常数
return Integer(n - m_) # 由于tmp其实是 -m % n,所以这里给他转换回去。
def GCD(a, b):
if(b == 0):
return a.monic() # 返回首一多项式,即多项式最高次的项式系数为1
else:
return GCD(b, a % b)
e =
n =
b =
c1 =
c2 =
M = franklinReiter(n,e,b,c1,c2)
print(M)
第六关:Boneh Durfee Attack
已知n,e,c,d只有1024 * 0.27bit
[+]Generating challenge 6
[+]n=0xbadd260d14ea665b62e7d2e634f20a6382ac369cd44017305b69cf3a2694667ee651acded7085e0757d169b090f29f3f86fec255746674ffa8a6a3e1c9e1861003eb39f82cf74d84cc18e345f60865f998b33fc182a1a4ffa71f5ae48a1b5cb4c5f154b0997dc9b001e441815ce59c6c825f064fdca678858758dc2cebbc4d27L
[+]d=random.getrandbits(1024*0.270)
[+]e=invmod(d,phin)
[+]hex(e)=0x11722b54dd6f3ad9ce81da6f6ecb0acaf2cbc3885841d08b32abc0672d1a7293f9856db8f9407dc05f6f373a2d9246752a7cc7b1b6923f1827adfaeefc811e6e5989cce9f00897cfc1fc57987cce4862b5343bc8e91ddf2bd9e23aea9316a69f28f407cfe324d546a7dde13eb0bd052f694aefe8ec0f5298800277dbab4a33bbL
[+]m=random.getrandbits(512)
[+]c=pow(m,e,n)=0xe3505f41ec936cf6bd8ae344bfec85746dc7d87a5943b3a7136482dd7b980f68f52c887585d1c7ca099310c4da2f70d4d5345d3641428797030177da6cc0d41e7b28d0abce694157c611697df8d0add3d900c00f778ac3428f341f47ecc4d868c6c5de0724b0c3403296d84f26736aa66f7905d498fa1862ca59e97f8f866cL
[-]long_to_bytes(m).encode('hex')=
但具体怎么去求解这个方程呢?这就涉及多元coppersmith’s method了,超纲了吖,所以这里先用了github上的一个脚本boneh_durfee.sage。这里的适用条件是d < N^0.292
思考&总结
在coppersmith’s method的边界计算中,由于推理中存在的不等式,格基规约算法在不同情况有不同的表现等问题,导致coppersmith’s method的边界其实比较模糊,而构造不同的格也会计算出不同的边界值,有不同的效果。所以,在考虑时间和空间复杂度的情况下,是否会存在某种最优的构造方法呢?
好了,这里大概是大部分的对单元coppersmith’s method的应用实例了。最后一手Boneh Durfee Attack利用了多元coppersmith‘s method,这算是埋了一手伏笔么?










